一、简介
浮游生物,特别是自由生活(FL,free-living)和颗粒附着(PA,particle-attached)这两种生活方式的细菌群落对于淡水生态系统的物质循环和能量流动至关重要。尽管已知这两种生活方式的细菌在内陆水域显示出不同的多样性和群落结构,但关于它们在盐度波动下群落稳定性的研究仍然不足。该研究在亚热带地区的厦门杏林湾水库进行了为期三年的采样,探索了随着盐度变化,这两种细菌群落稳定性的变化情况,以期为未来预测细菌群落动态、功能及改善沿海城市生态系统管理和保护提供科学依据。

英文标题:Community stability of free-living and particle-attached bacteria in a subtropical reservoir with salinity fluctuations over 3 years
中文标题:亚热带水库盐浓度波动下浮游细菌群落的稳定性
发表时间&期刊:2024.02 & Water Research(IF:11.4)
测序技术:Illumina 16S V3-V4测序

1.环境因子动态变化及其与细菌群落的关系
2017年12月到2020年11月,降水和盐浓度都发生了剧烈变化,Mantel test表明盐浓度是影响自由生活(FL,free-living)和颗粒附着(PA,particle-attached)细菌群落组成变化的最重要因素(图1)。为了更细致地分析这些变化,把研究时间分为6个阶段:P1(1~7月,高盐度且低变化时期)、P2(8 ~ 12月,中盐度且高变化时期)、P3(13 ~ 15月,高盐度且低变化时期)、P4(16 ~ 24月,低盐度且高变化时期)、P5( 25 ~ 30月,中盐度且低变化时期)和P6(31 ~ 36月,低盐度且高变化时期)(表1)。
图1 环境因素动态变化及其与细菌群落的关系
表1 杏林湾水库6个时期的盐分浓度和降雨量

2. 盐浓度波动下自由生活和颗粒附着菌群的稳定性
在高盐浓度且盐度变化小的时期,颗粒附着菌群的稳定性显著高于自由生活菌群,而在低盐度且盐度变化大的时期,颗粒附着菌群稳定性低于自由生活细菌群落(图2a)。在高盐浓度且盐度变化小的时期,自由生活菌群中稀有类群间的相互作用强度高于颗粒附着群落,而在低盐度且盐度变化大的时期呈相反趋势(图2b)。自由生活细菌群落稳定性与盐浓度有显著相关性(图2c),而颗粒附着细菌群落则对盐浓度变化较为敏感(图2d)。


图2 盐度波动下两种生活方式菌群的稳定性
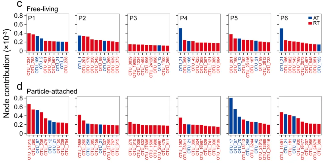
3. 稀有类群微生物对群落稳定的重要性
从6个时期自由生活和颗粒附着细菌群落的网络拓扑性质可以得出,稀有类群对维持群落的稳定非常重要(附表6)。比如,对网络效率贡献最大的前10个节点中,约有80%的OTU归属于稀有类群(图3cd),并且在554个关键物种中,有335个被明确归类为稀有类群(附表7)。

图3 稀有类群对群落稳定的重要性
4. 细菌群落稳定性与环境因子的联系
在高盐浓度且盐度变化小的时期,盐浓度是最重要的驱动因素,对自由生活和颗粒附着细菌群落的稳定性有显著的直接影响(图4ac)。在低盐浓度且盐度变化大的时期,降雨通过影响水体中颗粒物浓度对自由生活细菌和颗粒附着细菌群落稳定性产生间接而显著的影响(图4bd)。

图4 环境因素与细菌群落稳定性的关系
本研究揭示,自由生活和颗粒附着细菌群落的稳定性呈现出随盐度升高而增强的趋势,但随盐度波动的加剧而减弱。此外,研究阐明了这两种生活方式截然不同的细菌群落在稳定性响应过程及潜在机制上的差异,为理解气候变化背景下自由生活与颗粒附着细菌群落稳定性差异的机理提供了宝贵的洞见。
参考文献:
[1] Yang Xue, Li Shuzhen, Al Mamun Abdullah, et al. Community stability of free-living and particle-attached bacteria in a subtropical reservoir with salinity fluctuations over 3 years. 2024
对每个特征序列选用对应的参考数据库进行物种注释,下图为属水平物种组成柱状图:

图1 属水平物种组成柱状图
Heatmap(热图)是以颜色梯度来代表数据矩阵中数值的大小并根据物种或样品丰度相似性进行聚类的一种图形展示方式。将高丰度和低丰度的物种分块聚集,通过颜色梯度及相似程度来反映多个样品群落组成的相似性和差异性。根据物种在每个样品的相对丰度,在门、纲、目、科、属、种分类水平上分别取相对丰度前50的物种(不包含未分类的)进行热图绘制。

图 属水平物种丰度热图
三元相图是用一个等边三角形描述三个变量的不同属性的比率关系,在分析中可以根据物种分类信息对三个或三组样品的物种组成进行比较分析,通过三角图可以直观的显示出不同物种在样品中的比重和关系。

图 三元相图
主成分分析(Principal Component Analysis,PCA)是一种分析和简化数据集的技术,通过将方差进行分解,将多组数据的差异反映在二维坐标图上。通过分析不同样品的距离可以反映样品的差异, PCA运用方差分解,将多组数据的差异反映在二维坐标图上,坐标轴取能够最大反映方差的两个特征值。两个样品距离越近,则表示这两个样品的组成越相似。

图 基于binary jaccard算法PCA图
LEfSe(Line Discriminant Analysis (LDA) Effect Size) 能够在不同组间寻找具有统计学差异的Biomarker。下图为LDA值分布柱状图和LEfSe分析进化分枝图:

图 LDA柱状图

图 LEfSe分析进化分枝图